411款纯电动汽车申报工信部第307批《道路机动车辆生产企业及产品公告》
2018-04-13 16:48:00

2018年4月13日,工业和信息化部在官方网站公示了申报第307批《道路机动车辆生产企业及产品公告》(以下简称《公告》)新产品,公示期7天,截止到4月19日。
申报本批《公告》新产品的汽车、摩托车、低速汽车生产企业共计642户,其中汽车生产企业602户、摩托车生产企业39户、三轮汽车生产企业1户。以上企业申报的新产品共计2573个,其中汽车产品2475个、摩托车产品95个、三轮汽车产品3个。
申报新能源汽车产品的共有123户企业的429个型号,其中纯电动产品共117户企业411个型号、插电式混合动力产品共12户企业15个型号、燃料电池产品共3户企业3个型号。
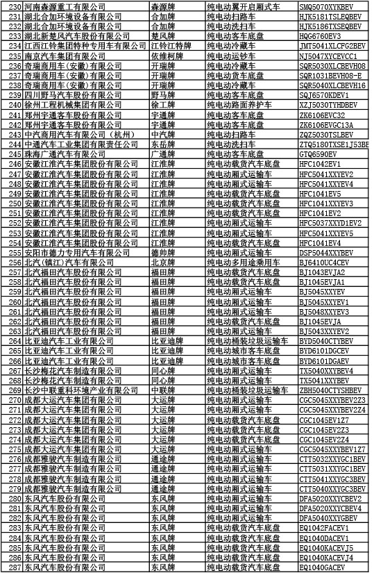
以下是申报第307批《道路机动车辆生产企业及产品公告》纯电动汽车名单:








稿件来源: 工信部
相关阅读:

验证码:
- 最新评论
- 我的评论